Hello World!
Toggle navigation
Home
开发
运维部署
旧博客搬家
About Me
aaaaaaaaaaaaaaaaaaaaaaaaaaaaaaaaaaaaaaaaaa
Archives
Tags
TensorFlow
TensorFlow
2018-06-02 03:09:35
44
0
0
lion
TensorFlow
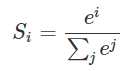
#源码安装(ubuntu 16.04 lts) =============== 从源码编译安装,解决老机器(cpu不支持avx指令集)出现的illegal instruction (core dumped)问题 ###1、安装python3.6 ###2、安装bazel 1.2(不要1.3) > https://docs.bazel.build/versions/master/install-ubuntu.html ###3、安装依赖 pip3 install six numpy wheel ###4、编译pip安装包 git clone cd tensorflow ./configure #脚本 bazel build --config=opt //tensorflow/tools/pip_package:build_pip_package #打whl(pip安装包) bazel-bin/tensorflow/tools/pip_package/build_pip_package /tmp/tensorflow_pkg ###5、安装 pip install /tmp/tensorflow_pkg/tensorflow-1.6.0-py2-none-any.whl #理论基础 ###待续 #卷积网络 #循环网络  #API方法 ##矩阵变换 ###np.expand_dims(input, axis) 给矩阵增加一个维度 axis加在第几维度 如:input.shape=(2),axis=1,则输出:shape=(2,1) input.shape=(2),axis=0,则输出:shape=(1,2) ###numpy.transpose(a, axes=None) 矩阵转置,axes可选,指定维度序列 如: axes=None时: [[a,b],[c,d]] ==> [[a,c],[b,d]] axes=(0,1): [[a,b],[c,d]] ==> [[a,b],[c,d]] axes=(1,0): [[a,b],[c,d]] ==> [[a,c],[b,d]] ###tf.reduce_sum() 对多维矩阵求和降维度  ###tf.argmax(m, aixs) 输入m为2D矩阵[a,b],输出1D矩阵 当aixs=0时,返回每列最大值,shape=[b] 当aixs=1时,返回每行最大值,shape=[a] ##归一化方法 ###tf.nn.batch_normalization(归一化) 公式如下: y=γ(x-μ)/σ+β 其中x是输入,y是输出,μ是均值,σ是方差,γ和β是缩放(scale)、偏移(offset)系数。 γ和β是学习变量(Variable),训练时可由优化器调整。 x在经过y=γ(x-μ)/σ+β运算后,输出归一化值, 但如果归一化值不理想,优化器有通过调整γ和β来将值再度调整的能力。  ### ##激励函数 ###tf.nn.tanh(双曲正切函数)  ###tf.nn.sigmoid 公式:y = 1/(1 + exp (-x))。 (exp是e为底幂指函数,即e**x) ###tf.nn.softmax softmax用于多分类过程中,它将多个神经元的输出,映射到(0,1)区间内,可以看成概率来理解,从而来进行多分类! 假设我们有一个数组,V,Vi表示V中的第i个元素,那么这个元素的softmax值就是  更形象的如下图表示:  ###tf.nn.dropout 以keep_prob为概率,使矩阵中某些元素变为 1/keep_prob 大小,另外没有变的元素变为0,矩阵总的累加和结果不变
Pre:
Python
Next:
正则表达式
0
likes
44
Weibo
Wechat
Tencent Weibo
QQ Zone
RenRen
目录